技术交流 您的位置 : 首页 > 技术交流
纺织品卫生整理
时间:2020-09-18   来源:北京洁尔爽高科技有限公司
 

陆宗鲁(山东纺织研究所)[原载《印染》第二十一卷第三期p33]

[摘要]本文介绍了各类致病菌对人体的危害和纺织品卫生整理的发展,分门别类地对各种整理剂及其应用作了阐述,并提出了相应的整理方法。文章还进一步研究了卫生整理剂对人体的安全问题和抑菌杀菌机理。

[主题词]抗微生物整理  纺织品
 

 一、关于致病菌及其生态
 

    各种细菌在不同的环境里生存,并通过不同的途径传播。有资料统计,在人的上半身每平方公分的皮肤上有50一5000个微生物,它们从汗水和分泌物中获取营养进行着生长,繁殖,死亡的新陈代谢。汗水或内分泌物中的脂肪酸,乳酸能杀死多种微生物。微生物之何也互有杀死或灾活作用,构成了自然界的协调平衡。微生物中有少量致病菌;对皮肤有侵害的真菌类有皮肤丝状菌(浅侵),在分泌物较多的潮湿条件下繁殖迅速,超过其它微生物的数目,形成菌群失调,侵害皮肤浅部,引起湿疹,脚癣,头癣。白色念珠菌 (深部侵害性)能引起小儿鹅口疮,念珠菌性肠炎,食道炎,阴道炎,支气管炎,肺炎,膀胱炎,肾盂肾炎,败血症,心内膜炎,脑膜炎等疾病。在皮肤发生裂口或伤口,汗腺,毛囊障碍处金黄色葡萄球菌入侵引起疖,痈,新生儿天疱疮,急性乳腺炎,脓肿中耳炎等疾病,脓液呈黄色。金黄色葡萄球菌侵入血液时能引起败血症。绿脓杆菌能使烧伤感染和侵入伤口,坏死皮肉,脓液呈绿色。寄生于皮肤表面的细菌大多是接触性传播,在条件适宜时能使人发生外科疾病。

另外,还有一些寄生于人体其它部位的多种致病菌。呼吸道的致病菌有;生存在鼻咽部的草绿色链球菌和扁桃体内的伊氏放线菌,还有肺炎支原菌,脑膜炎球菌,流行性感冒杆菌,它们从鼻涕,痰,喷嚏中带出,沾染在各种物体上予以传播。消化道貌岸然致病菌有;伤寒菌,痢疾杆菌,通过苍蝇,灰尘等传递到食物中,再侵入消化道。通常在一克粪便中约有4×1011个微生物,占粪便干重的40%。正常粪便中厌氧菌占99%以上,大肠杆菌占1%以下,沤粪可以杀死微生物。大肠杆菌侵入泌尿系统时能引起尿道炎,膀胱炎,肾盂肾炎。眼的致病菌有;砂眼衣原体,包涵体,结膜炎原体。性传染的有;枯草杆菌,这类细菌也是接触性传染。

致病菌有直接和间接传递,健康带菌人是指染上了致病菌,自己不发病,带给抵抗力弱的人引起的疾病,或者是致病菌暂时落在衣服,鞋帽,手绢,毛巾,被褥,床单,沙发套,纱布,绷带以及人的手,脸和毛发上,再转移到自己或别人适合于

该致病菌繁殖的人体部位而引起疾病。不管是直接还是间接传递,纺织品是重要的媒介,如果纺织品有杀灭致病菌的功能,它不仅减少了一个重要的传播途径,还可以防止细菌在织物上不断繁殖而产生臭味。关于臭味的解释是,汗和尿本来是没有臭味的,它浸润在织物上之后,由于细菌的繁殖,把尿,蛋白质和分泌物分解,产生大量的氨和其他刺激性气体,这是内衣裤、鞋袜、帽子、毛巾  被、枕巾、被褥、玩具布娃娃等通常会有不同程度臭味的原因。当然,分泌物越多,细菌越多,分解出的臭味就越难闻。美国道康宁公司提供了一份有关细菌繁殖、死亡与臭味的相关图(见图1)。

         

           图1细菌纂殖、死亡与臭味的相关性

1-     潜伏期,2-诱导期,3-对数繁殖期,4-繁殖减速期

5-静止期,6-死亡加速期,7-对数死亡期

   按职工的生活方式,早上8点离家到下午5点下班,其间9个小时,鞋中的数约可增加10万倍以上,它与恶臭的关系见图2。

             

   '      图2细菌与恶臭气味的评分图 

注;细菌从10万个增加到1000万个时恶臭剧烈,气味评定;

0→10表示从无臭至不能忍受的气味,由专门的评定者评定。

防臭与消臭

生活环境中有些气味使人感到很不愉快,其中有腐败的气息(生活圾垃中的腐蚀酸气味),霉味(霉菌作用下,室内地毯产生的霉味,潮湿天收藏的全棉服装上的霉味),真菌繁殖时产生的氨臭与恶臭气息(脚臭,鞋袜臭,老人臭,伤口化脓腐肉臭)这些都与细菌的繁殖有关,但也有一些气味,例如;吸烟者的房间和衣物用品上,弥留着强烈的烟草和烟油脂气息。烧烤食品店里因燃烧不完全,而使室内有一种独特的烟薰味。还有厕所周围的屎尿臭。空气中的这类臭气,无需细菌作用就很难闻,不但这些场所令人不快,而且一到这种地方,这种气味会被人的皮肤,毛发吸着,被衣帽鞋补袜吸着,走到那里,带到那里并不断传播这种气息,甚为不雅。为了改善环境条件,这种臭气也在消除之列。

  比仿;在便池里放几颗樟脑球,屎尿臭就消减了。用香精微胶囊处理的纺织品,可以改善嗅觉。用加强吸着,或中和的方法让织物吸着臭气而不择放(如同口罩的过滤吸着作用)。较有前途的一种方法是;在光催化作用下,能生成过氧化物,自由基的微量无机锌,铜,银化合物(附着在氧化钛超微颗粒上),因强烈的氧化作用,使恶臭物质分解而消臭。当然不管什么衣物,一般性地晒晒太阳,也有去臭作用,不过含银的纺织品效果更为显著罢了。

  日本Unitika公司,开发了一种无需日晒,就可以分解烟草和烟油脂气味的整理剂(Tabacut Ⅱ),在30~60分钟内,就可自动消除烟味,它对于消除室内装饰布,出租车内装饰布和男女套装上的烟味来说很有实用价值。

 

       杀灭致病菌的方法有物理方法和生物化学法两种。(1)物理杀菌消毒方法有高温蒸煮、紫外线照射、千燥等。(2)化学方法杀菌消毒剂有;漂白粉、碘酒、红汞、龙胆紫、新洁而灭、过氧化氢等。用于人体防治疾病的杀菌药物,要求能杀死致病菌而不损害人的机体,也就是对人低毒。这类药物有抗生素、磺胺(SD,SPP)和呋喃类药物(唑酮,西林,妥因),及其增效剂甲氧苄氨嘧啶(TMP)。中草药中有黄莲、金银花、连翘、大青叶、蒲公英、大蒜等。杀菌药物要求不诱发抗(耐)药菌株,但抗菌素与磺胺药物则能诱发耐药菌株。

  少量耐药菌株与正常菌株共存时,耐药菌株的繁殖受到正常菌株的抑制。治疗期间抗菌药物杀灭正常菌株时,耐药菌株乘机大量繁殖,引起二重感染,病死率高。由于近几年来广泛使抗菌素与磺胺药物,耐药菌株逐年增加,防止细菌变异(孽生耐药菌),已成为流行病学及治疗学上的严重问题。特别是金葡菌、大肠杆菌、痢疾杆菌、绿脓杆菌、变形杆菌和结核杆菌等。因而需寻求积极的防病途径,和环境保护一样,关系到人类社会的生存与发展。

二、纺织品卫生整理的发展情况

1、国外纺织品卫生整理发展情况

四千年前埃及人用植物浸渍液来浸渍裹尸布,保存木乃伊。日本有人例举了现代发展卫生整理的历程表。即;

1935年DOMAGK提出报告,用季铵盐处理服装有抗菌效果,二战时期德国曾用以处理军服。

1955~1965期间有名为"Sanitized"的卫生整理纺织用品上市。

1966~1976期间发展有机金属化合物 (汞、锡、铜、锌)作卫生整理剂,用量极少效果明显。还有用醌类含硫化合物作卫生整理剂。

1973年日本"关于规定有毒物质家庭用品的法律"生效,研究衣料对皮肤危害的"日本工业皮肤卫生协会"开始把关。

1975年后,转入了低毒卫生整理剂的新的开发期,相继开发了有机硅季铵盐(道康宁)、芳香卤代化合物(三木里研)、卤代二苯醚(汽巴-嘉基)以及六亚甲基双胍氯化氢(卜内门)等。

日本东洋纺对美国道康宁公司的卫生整理剂DC一5700有这样的介绍;

1975年道康宁公司与BURLINGTION公司协作,以"BIOGUARD TM"为商标,经美国环境保护局(EPA)许可,开始出售防臭袜子。1977年接受IR一100奖(划时代的发明证)。1980年累计出售防臭袜1·5亿双。19981~1983年出售防臭袜1·5亿双。袜子进入成熟期,美国卫生整理开始用于地毯。

  日本东洋纺向道康宁公司购买DC一 5700,于1981年与小松染工共同开发B10S1L 卫生袜;1982年扩大到一般衣料和家庭用品。1982年的销售额达到48亿日元(全日本350 亿日元);1983年达到100亿日元(全日本700亿);1987年全日本达到2000亿日元。

    2·我国卫生整理发展情况

  1982年中国医科院皮肤病研究所提出"806"防脚癣加工剂,江苏某袜厂生产防臭袜。

  1984年上海树脂厂试制出SAQ一1整理剂。

  1985年山东大学与山东省纺织研究所合作试制出STU一AMlO1整理剂。

1985年河北省纺织研究所与石家庄四印合作,在酸性焙烘条件下,抗菌剂通过交联剂结合在棉织物上。                                 

1986年山东菏泽印染厂配制HP一l水溶性协同抗菌剂,能与纤维生成络合物,抗菌性能达到DC-5700水平。

1986年北京印染厂采用军事医科院微生物流行病研究所的抗癣药ME8605,生产衬裤,以防治大腿内侧湿疹,经老山前线1500名战士试穿,效果明显,当年通过鉴定,获纺织部三大支柱新产品创新一等奖。ME8605系由抗真菌药和抗菌增效剂以及抗过敏等药物配成,织物整理时配以耐洗整理剂,药物用量1%,耐洗100次以上。                                     

  1987年山东省纺织研究所与青岛二印合作开发出婴儿尿布和婴儿套装服,产品获国家经委新产品金鹿奖。自1988年起,己相继开发出袜,鞋垫,纯棉针织弹力汗衫裤,毛巾以及供制作买单、工作服用的纯棉织物等,累计销售额达到百万元以上。                                    

  1988年山东海洋大学研制α-溴代肉桂醛用于胶鞋,沙市袜厂采用咪唑抗菌剂处理袜子。

  1989年中国纺织大学推出腈纶织物防菌产品,称作AB布。

  1990年山东纺织工学院研制的SFR一l 羟基氯代二苯醚非离子性卫生整理剂通过鉴定,潍坊床单厂采用该助剂拼用2D树脂加工床单。中国纺织大学也研制出这类产品。
  1990年武汉三印卫生整理产品获国家技术进步二等奖。

1993年9月青岛第二印染厂被卫生部批准为全国医院职业服装面料生产指定厂,目前生产量约为10万米/月。自1993年起,青岛印染厂采用进口整理剂,加工抗菌、防虫、防臭全棉和涤棉被套,返销日本,月产量为5~8万米。

   九十年代末,抗菌防臭纺织品市场开始升温,抗菌纤维(包括合成纤维与天然抗菌纤维)相继入市。眼下比较热门的产品莫过于脱乙酰甲壳质HTCC(脱乙酰甲壳质HTCC与三甲基环氧丙烷氯化铵GTMAC,摩尔比>1:3的反应物)GTMAC的环氧基与HTCC上的氨基反应生成带有季铵盐的HTCC衍生物,用全0。25克/升的弱酸性工作液,处理棉织物,可得近乎100%的细菌减少率,通过添加固着剂,目前可以做到的最佳耐洗性是;6次洗涤后细菌减少率为90%,10次后为80%。

  1996年,日本富士纺开发的Chitopoly(将HTCC的微粉混入波里诺西克人丝)天然系抗菌防臭纤维进入市场。有临床试验报告证明,用它作内衣,有改善过敏性疾病的作用。99年为英国综合流通另售业Max&Spencer所接受,开始作为“保护自身健康的衣料”而受到了全世界的注意。

2000年,日本用它作原料,到我国来进行来料加工的定单不断增加。

 

三、纺织品卫生整理剂类别及共应用

1、  卤代芳烃

(1)BCA、747卫生整理剂 α溴代肉桂醛(简称BCA)与2-[3,5-二甲基吡唑基]-6-羟基-四苯基嘧啶酮(简称747),以

加工尼纶66袜子,称作“SANCORIA”二者合用以747为主,BCA为辅,织物经十次洗涤,整理剂保留10%,对抑制白真菌有效。

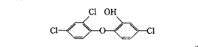
(2)芳香族卤化物5-氯-2[2,4-二氯苯氧基]酚,名为"SANITAIZ"用于不常洗涤的毛毯。

2、  卤代二苯醚类

卤代二苯醚NONSTACK抗菌剂加交联树脂。

3、  腈纶用硫化铜处理

二价铜盐和硫磺的化合物处理聚丙烯纤维,称为“SANDARON”纤维,导电性为10-1~10-2Ωcm-1,可用作电磁波屏蔽和防静电材料。含铜的纤维材料有防菌防臭效果,袜子、鞋垫, 手套已有出售(日本蚕毛染色公司)。

4、有机硅季铵盐

有DC-5700,阳离子有机硅"TAIGAD"和其他季铵盐。日本在应用这些整理剂生产卫生纺织品方面作了统计(见表1)。

表1日本卫生整理纺织品生产厂商一览表           

  生产厂商

商品名称

使用的整理剂

东洋纺

BIOSIL

有机硅季铵盐

敷岛纺织

NONSTAC

二苯醚类

仓敷纺织

クテンシル

有机硅季铵盐

大和纺织

シテクルヤツト

有机硅季铵盐

日清纺织

ヒ-クフレツシユ

二苯醚类,有机硅季铵盐

日东纺织

DAN FRESH

芳香族卤化物

锺纺

リフレツシユ

-----

富士纺织

シルタイズ

有机硅季铵盐,芳香族卤化物

第一纺织

ウインジル

有机硅季铵盐

旭化成、

ソフレノシユ

芳香族卤化物

尤尼吉可

ユンフレツシユ

芳香族卤化物

タ"ニヤ"

SANITAIZ

二苯醚类,芳香族卤化物

可乐丽

スパルビ-サンタ-

芳香族卤化物

日本毛织

ユウクサニトツプ

二苯醚类

タイヤフアパ-ス

タ-フユル

有机硅季铵盐

东亚纺织

ノンスタツク (nonstack)

芳香族卤化物

福助

パイオシル (BIOSIL)

有机硅季铵盐

アンクル

BIOSL

有机硅季铵盐

レナウン

フレツシユライフ

二苯醚类阳荷活性有机硅

帝人

タイジロン,タイジガ-ド

阳荷活性有机硅

内外编物

オドイ-タソツクス

二苯醚类

オ-シクンシ

クンシル

有机硅季铵盐

片仓工业

ツシユキヤロン

有机硅季铵盐

日本蚕毛染色

サンタ-ロン

聚丙烯腈与硫化铜复合物

东海染工

パ-ルサニツト

有机硅季铵盐

小松精练

マ-パスM

有机硅季铵盐

洒伊纤维工业

 

有机硅季铵盐

住友ゴム

ノンスタツク

二苯醚类

田中金整理

パ-マクリ-ン

二苯醚类

    表1所示28个企业的29个整理产品,使用有机硅季铵盐约有13个,使用二苯醚类的有7个,用芳香族卤代物的有7个,聚丙烯腈硫化铜复合物1个。

 

        四、卫生整理加工方法

1、有机硅季铵盐(以DC-5700为例)

(1)    整理剂  [(CH2O)3Si-(CH2)2-N(CH3)2-C18H37]+CI有效成分42%(甲醇液),呈淡黄至琥珀色透明溶液,可用水任意稀释。DC-5700的EPA认可号为342921—1。

(2)    可整理的织物

棉、羊毛等天然纤维,聚酯、耐纶、腈纶、斯潘德克斯(聚氨基甲酸乙酯弹性纤维)等合成纤维以及它们的复合材料的原纤、纱线、织物。

(3)  加工方法

将被处理的织物充分洗净,浸渍(或浸轧) 后,在80~120℃条件下烘干,去除水分和甲醇,毋需特殊的热处理,整理剂用量为1·5~ 3%(owf),在与阴离子助剂合用时(如荧光增白剂)必须加离子屏蔽剂。

(4)在纤维素纤维上固着机理

                                   ︱

(CH3O)3Si-R+Cell-OH→Cell-O-Si-R

                             ︱

(R为十八烷基季铵盐) 在没有反应基团的纤维上,有机硅的三个甲氧基可以水解,脱甲醇而变成 OH基,而后羟基之间脱水缩合,形成不溶于水的分子膜,沉积在纤维表面。

2、二苯醚类(以SFR-l为例)

(1)  整理剂

纯物质为无色长针状结晶,熔点56~57℃,溶于乙醚、乙醇、丙酮中,商品为水分散乳液,有效成分含量10%。化学结构式如下:     

            

对纤维素无亲和力,可与2D或氰醛树脂拼用

(2)  可整理的织物

纤维素纤维,纯涤纶(高温高压染色与整理同浴,不需要用2D树脂)。

(3)  加工方法

A.纤维素纤维织物浸轧SFR-l 5Oml/L与树脂及树脂催化剂同浴(2D或氰醛50g/L)→预烘→焙烘。SFR-l属非离子性可以与各种助剂同浴,N-羟甲基分别与二苯醚上的羟基或纤维素上的羟基反应,呈醚键连接。

 B.纯涤纶高温高压染色与整理同浴,处方(g/L)如下:

    染  料          x%(owf)

    扩散剂          l

    磷酸二氢氨      2

    JFC             O·2

    SFR一l        10%(owf)

SFR一l与分散染料相似,可以染着涤纶。

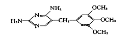
  3、芳香族卤化物(以溴代肉桂醛为例)

    整理剂溴代肉桂醛分子式;

            

    它微溶于水,溶于乙醇。可整理纤维素纤维、维纶、腈纶等织物。

    整理工艺为;浸轧织物→预烘→焙烘,添加氨基甲醛树脂以增加固着。溴代肉桂醛上的醛基可与纤维素上羟基结合,也可与N-羟甲基整理剂结合。                                     

    4、腈纶硫化铜复合物

     有资料介绍,采用硫化铜 2·5~7·5% 160℃处理4Omin。也有用铜盐与硫磺的混合液处理,在纤维上生成硫化铜不溶物.硫与铜盐在纤维上作用,可能氰基参加反应。有资料介绍,凡有氰基的高分子物,用硫磺和铜盐处理均有杀菌作用。                         

5、抗菌药物整理织物

(1)       整理剂

①     磺胺药(抑菌剂)

    

②     呋喃药(抑菌剂)

          

呋喃西林  R为 一NH一CONH2

③     甲氧卞氨嘧啶(增效剂)

           

④     四环素族

(2)整理方法(以羟基四环素盐酸盐OTC·HCl为例) 上述药物分子结构上有可交联基团,但很少能与纤维直接反应,一般采用的药物和织物处理方法举例如下;

①       四环素盐酸盐(OTC·HCl)与碱式氯化铝(Al2(0H)5Cl)按1:1摩尔混合,用相当于OTC当量四倍的NaOH中和其盐酸,工作液中含OTC·HCl  5%左右。浸轧织物缓慢烘干(12O℃,5min)后充分水洗。本法称为四环素铝粘合法整理工艺,水洗20次后对金葡菌的抑菌率仍在90%左右,但水洗30次后抑菌率下降很大,不加NaOH中和的酸性工作液,整理效果还能更好一些,但热处理时有大量HCl逸出,织物有脆损。

②       北京印染厂试制工艺

处方(%)

抑菌剂ME-8605              1.6~2

增效剂PG                 O.05~0.1

水                            X

耐洗剂NDP—AF              7~8

水                            Y

 

工艺流程;; 浸轧→烘千

6、有机金属

有杀菌作用,并对人体无三致病变(致畸、致癌、致突变)的有机金属化合物,有银盐、铜盐、锡盐等。用得最多的是锡盐,如四辛基锡,三苯己基锡等。

 

五、卫生整理效果及其测试

    (一)卫生整理效果举例

    1.北京印染厂ME8605药物处理的抗菌效果

    A.抗真菌的最小抑菌浓度为≤0.39mg/ml,优于国外药物克霉唑,酮康唑,肟康唑,ME8805敏感的真菌有;石膏样毛癣菌,猴类癣菌,红色毛癣菌,黄癣菌,紫色癣菌,孢子丝菌,以及紫状表皮,皮炎着色,斐氏着色,卡氏枝霉,疣状瓶酶,

光滑球拟酵母等浅部侵害性真菌。

    对深部侵害性真菌如;白色念珠菌,新型隐球菌,抑菌效果一般。

    B.抗细菌;对金黄色葡萄球菌,大肠杆菌,福氏痢疾杆菌的最小抑菌浓度亦为≤O.39mg/ml。

    C.整理织物的试穿效果

    老山前线1500名战士试穿,对大腿根部湿疹,阴部搔痒疹有效率为90.19%,治愈率85.69%,耐洗涤一百次以上,穿着舒适,无副作用。

    2.二苯醚类抗菌剂织物处理效果(山东纺工院SFR-l)

棉及T/C整理织物抑菌试验用AATCC 9O-1982晕出法检出法,金黄色葡萄球菌的抑菌功能棉和T/C整理织物复盖处均无菌落产生,用100-1981汲尽培养法检测,耐洗80次抑菌率96%以上。

    3.有机硅季铵盐抗菌剂处理效果

    (1)整理织物对下列徵生物有抑制作用

    细菌(革兰士阳性);金黄色葡萄球菌,连锁球菌,枯草菌,结核菌。

    细菌(革兰氏阴性);猪霍乱沙门氏菌,伤寒杆菌,大肠杆菌,绿脓杆菌。

    酵母菌;酵母菌,白色念珠菌。

    藻菌;颤藻属,鱼腥藻属,棕藻属,月芽藻属,红藻属,原球藻属,厚孢藻属。

    霉菌;黑曲霉,黄曲霉,土曲霉,球形菌,青霉菌,木霉属菌,芽霉属菌,头孢藻属菌。

    (2)耐洗次数与抑菌率

A.全棉整理织物耐洗100次

  山东纺织研究所实测数据;

  洗涤次数                           灭菌率%

      0                                97。9

      1                                98。5

     20                                99。7

     30                                98。4

     40                                98。1

B.全棉织物干洗,消毒后的抑菌率,

(A)干洗;用烷烃洗涤后      抑菌率      90%以上

     用含氟烃洗涤后      〞        90%以上

         四氟乙烯洗涤后      〞       40-80%

(B)消毒后;干热; 15O℃×12O分 消毒后

           湿热; 120℃×2O分(密闭高压,反应釜中)

           煤气;(氧化乙烯/一氧化碳20:80)

             5O℃×14小时处理二次

           氯气;50Oppm     pH 8       48小时(常温)

                  5Oppm     lO分  (70℃)

           γ射线;1,85~3。0 M RAD

上述条件处理后,整理后的棉,涤纶织物抑菌率 仍在9O%以上。

(3)试穿效果(山东纺织研究所用STU-AmlOl整理剂)

1.袜子、鞋垫防臭效果明显,对脚癣、湿气患者有干燥感,穿着舒适。

2.婴儿尿布、尿臊臭明显减轻,婴儿皮肤未出现湿疹状红肿。

3.洗脸毛巾,汗臭霉臭明显减轻,土埋不霉烂,擦桌布霉烂气味大大减轻,洗涤容易。

4.汗衫裤、睡衣,汗臭明显减轻,老人臭明显减轻,裤裆变得干燥、舒适。

(二)测试方法要点

目前,整理织物抑菌效果测试方法有三;

1.AATCC     9O-1982法    晕出法

2.AATCC     lOO-1981法   汲尽培养法

3.CTM       0923法       摇晃烧瓶法(美国道康宁公司的试验方法)

    具体试验操作如下:

    1.晕出法:在培养基上,接种上细菌培养液之后,将整理织物小块复盖在培养基上,而后在一定条件下使细菌繁殖一定时间,检查织物复盖部位是否有"菌落"生长,也检查织物周围渗出无菌区城的大小尺寸。复盖区无菌落,抑菌效果属于优良,

晕出圈越大,表明整理剂从织物上渗出量越多。

    2.汲尽培养法;吸一毫升细菌培养液,滴在一小块整理织物上,使溶液正好被织物全部吸收,放置一定时何后,用培养液将织物上的细菌液洗落(稀释),摇匀,取样置于培养基上,在一定条件下,使细菌繁殖一定时间,检查培养基上“菌落”

数,与空白样品对比。

    3.摇晃烧瓶法,在盛有稀释液的有塞三角烧瓶中,投入样品(纺织品),而后移入细菌液,在一定条件下,摇晃一小时,取出一毫升试验液,置于固体培养基上,在一定条件下使细菌繁殖一定时间,检查菌落数与空白样品比较,计算抑菌率。

    以上三种方法,对于非渗出性的整理剂来讲以摇晃烧瓶法较为准确。

    在抑菌率测试中,很可能发生误码率差,主要原因有;

    (1)菌株的活力和纯度不易一敦,因此既要求钝种,还安求选育培养至繁殖速度呈对数增长后的稳定期问取样。

   (2)织物上可能有复盖物或离子屏蔽化合物,因此,测试前应将整理织物洗净。

    (3)自培养液中吸取菌液时,细菌仍处在新陈代谢过程中,因此,对照样品之间的取样时间越接近越好。

    六、关于整理剂对人体的毒性与诱发致病菌产生耐药菌等问题

    (一)安全性试验

    美国环境保护厅(EPA)基于FIFRA的法律,对药刘和卫生产品是否合格,确定了18个考核项目。具体有;1。急性口服毒性(鼠),2,急性皮肤毒性  3。眼粘膜剌激,4。皮肤剌激性,5,鱼类毒性,6。人体种族试验,7。亚急性皮肤障碍性试验,8。急性吸入毒性试验,9。突然变异牲,10。对口腔的剌激,11。短袜试穿  12。催使奇异性,13。亚急性口服毒性  14。细胞形质转换牲,15。急性口服毒性(野鸭),18。吸入毒性,l9。皮肤吸收性。

    一般卫生整理剂都经过口服与皮肤贴敷试验 (急性),基本上都是低毒的,但一种药剂往往都会有某些不能认可的事项,有资料介绍,只有DC-5700的是获得EPA全面认可的,因此DC-5700被公认是非溶出性的,对人类无毒的抗菌防臭整理剂。

剂。

(二)关于诱发耐药菌问题

    东洋纺公司介绍了美口道康宁公司关于耐药菌检测(或称作抗整理剂性的细菌),的报吉。

   采用晕出法,将某一整理剂处理过的织物,贴附在有菌的培养基上,经过一段时间培养后,从晕圈与菌落丛生的交界处,选择繁殖出第二代,再做晕出法试验,第二次交界的细菌,做第二代繁殖可以发现随着代数的增加,晕圈不断缩小,而且复

盖下的部位也长出了另星菌落,这些新生的细菌就是抗整理剂性的细菌。

    溶出性整理剂普遍有产生耐药菌的趋向,非溶出性整理剂有机硅季铵盐,则不存在诱发耐药性菌的问题。

    溶出性与非溶出性整理剂,两者的作用区别可以用下列图表反映出来,

          

     开始使用时抑茵效果很好,渐渐地就不起作用了,这是一般性溶出性抑菌整理剂的作用规律,它留给人类杜会的是一批新的耐抗菌剂的细菌,非溶出性整理剂则没有后患,而且能保持其一贯的抗菌防臭作用。

     (三),关于抑菌或杀菌机理

     细菌有一定的生命期,有的几十分钟,有的长至数年,在自然界,没有条件繁殖的细菌,随着时何的流逝,逐渐消亡。对于正在繁殖中的细菌,药物有的能破坏它的新陈代谢,抑制细菌繁殖,有的直接破坏或杀死菌体。前者称为灭活,后者称

作杀菌。灭活和杀菌都能制止细菌繁殖,防止发病,当然各种药物的抑菌机理不尽-一敦,例如;

     1.抗生素与磺胺药的抗菌机理

改变细胞壁的结构,抑制细胞壁粘肽的合成,使其不能抵御周围的低渗环境,引起菌体膨胀,最后崩溃。这些抗菌素有如,青霉素族,头孢菌素族,万古霉素,杆菌肽和环丝氨酸等。对生长旺盛的革兰氏阳性细菌最具杀菌作用。

(2)带阳电的游离氨基(多粘菌素)可与革兰氏阴性细菌细胞膜中带阴电的磷酸根结合,使细胞膜功能发生障碍,渗透性改变,菌体内重要成份如;核酸糖及钾盐等大量流出,细菌死亡,革兰氏阴性菌,细胞膜中含磷脂的量比革兰氏阳性菌多。

(3)合有氨基甙的,借本身结构中的阳离子,附着于细菌核糖体上,在其增长的肽链上,插入了“错误”的氨基酸,使细菌所需的蛋白质无法合成,而干扰细菌的代谢,最后使细菌死亡。这类抗生素对稳定期细菌有较大的杀灭作用。

    (4)氨基苯甲酸(PABA)是细菌生长合成二氢叶酸所必需的,磺胺药结构与PABA非常相拟,能与PABA竞争二氢叶酸合成酶,从而妨碍二氢叶酸的合成,细菌的繁殖,生长受到抑制,但易产生耐药性。

    (5)抗菌增效剂,磺胺增效剂甲氧苄胺嘧啶(TMP)不仅能增强磺胺药的作用,也能增强多种抗生素的作用,而且它本身就有抗菌能力,其作用原理是抑制二氢叶酸还原酶,阻碍二氢叶酸合成四氢叶酸,达到抑制细菌生长的目的。

   (6)抗生素与磺胺药诱发的耐药性菌;

    极微量的耐药性菌混杂于大量敏感菌群体内终将被敏感菌所消灭,当应用抗菌药物时,敏感菌被抑制或杀死,耐药菌被"选择"出来,就有机会大量繁殖形成耐药菌株。突变菌株仅对某种抗生素或和其类似抗生素产生耐药。

    2.有机硅季铵盐的死菌机理

    细菌通常带(—)电荷,它被有机硅季铵盐的N+所吸着,破坏细胞壁而且仃止了细菌的细胞的呼吸功能,接触N+的细菌因接触而被杀死,不接触的不受伤害,因而能使抗菌效果持久,可称之为耐久性优良。

    关于整理织物上是否有有机硅季铵盐? 有多少? 在生产质量上较难鉴别,道康宁公司介绍的一种阳离子试剂显色方法称之为BPB显示,可以从它显示的宝兰色程度来确定它的存在和浓度估计,测试范围在O~3%之间可检。(涓涓)

 

 

 
走进洁尔爽 新闻中心 产品中心 产品检测 技术交流 人才招聘 联系我们
公司简介
公司采风
企业文化
荣誉认证
领导关怀
全国纺织抗菌研发中心
公告信息
企业动态
行业资讯
卫生整理剂
健康功能材料
穿着化妆品
防护整理剂
染整新材料
功能新材料
检测报告
环保认证
生态检测报告
技术论文
技术讲座
人才战略
人才招聘
联系方式
©2005-2020 北京洁尔爽高科技有限公司  京ICP备05006376号-9  热线电话: 400-6500-939